FISIKA-MOMEN INERSIA-pertemuan 3
Momen Inersia
Momen inersia adalah kecenderungan suatu benda untuk mempertahankan keadaannya baik tetap diam atau tetap bergerak. Momen inersia ini juga sering disebut sebagai kelembaman suatu benda.
Perlu diketahui bahwa Hukum kelembaman atau hukum inersia adalah istilah yang sama dengan hukum pertama Newton. Hukum ini di rumuskan oleh Issac Newton yang pasti sudah sering kita temui saat SMP.
Hukum pertama Newton berbunyi bahwa benda yang tidak diberi gaya eksternal (gaya dari luar) akan cenderung mempertahankan keadaannya. Sebuah benda mencoba untuk mempertahankan keadaanya yang sangat bergantung pada momen inrsia.
Semakin besar momen inerssia maka benda akan sulit bergerak. Sebaliknya, momen inerrsia yang bernilai kecil menyebabkan benda akan mudah bergerak.
Rumus Momen Inersiaa

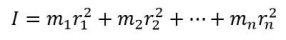
Benda bermassa m yang memiliki titik putar dengan jarak r, rumus momen inersianya dinyatakan sebagai berikut.

Keterangan:
m = massa benda (kg)
r = jarak benda terhadap sumbu putar (m)
Satuan momeninersia dapat diturunkan dari besaran penyusunnya sehingga momeninersia mempunyai satuan Internasional (SI) adalah kg m²
Selain untuk menyelesaikan momen inersia sistem partikel tunggal seperti penjelasan sebelumnya. Momen inersia juga menjelaskan untuk sistem partikel berjumlah banyak yang mana merupakan jumlah dari momeen inersia masing-masing komponen sistem partikel.

Secara metematis apabila diuraikan sebagai berikut

Notasi Σ (baca : sigma) adalah penjumlahan momen inersia sistem partikel sebanyak n.
Momen inersia tidak hanya bergantung pada massa dan jarak terhadap titik putar nya. Melainkan juga sangat bergantung pada bentuk benda seperti bentuk batang silinder, bola pejal cincin dan seterusnya masing-masing memiliki nilai momen iinersia yang berbeda.
Rumus momeninersia untuk bentuk benda teratur ini telah diketahui dan dirumuskan secara praktis sehingga memudahkan kita mengingat dan menghafalkannya.

1. Bola bermassa 100 gram dihubungkan dengan seutas tali yang panjangnya 20 cm seperti pada gambar. Momen Inersia bola terhadap sumbu AB adalah…

Pembahasan:
Momeninersia sebuah bola bermassa m = 0,1 kg dengan panjang tali r= 0,2 m adalah

2. Sebuah sistem dibawah ini terdiri dari 3 partikel. Jika m1 = 2 kg, m2 = 1 kg dan m3 = 2 kg, tentukan momeninersia sistem tersebut jika diputar menurut:
a) poros P
b) poros Q
a) poros P
b) poros Q

Pembahasan:

3. Batang pejal bermassa 2 kg dan panjang batang pejal adalah 2 meter. Tentukan momeninersia batang jika sumbu rotasi terletak di tengah batang!
Pembahasan:
Momen inersya batang pejal, sumbu rotasi terletak pada tengah batang

----------------------------------------------------------------------------------------------------------------------
TUGAS:
Kerjakan tugas berikut ini dengan cara klik disini
Saya sumarni,telah siap membaca materi diatas
BalasHapusSaya Mardiani sudah siap membaca materi di atas
BalasHapusSaya Mardiani sudah siap membaca materi di atas
BalasHapusSaya wilda lina sudah sia membaca materi diatas
BalasHapusSaya Maya Indah sudah siap membaca materi di atas
BalasHapusSaya Riyadhil Miladi saya sudah siap membaca materi
BalasHapusSaya Rahma Dini sudah siap membaca materi
BalasHapus